光的波粒二象性
各個(ge) 區間波長的分布見下圖,可見光,又可分為(wei) 紫光(390-450)藍光(450--490nm),綠光(490-570nm),紅光(620-780nm)。

光子的能量跟波長成反比,h為(wei) 普朗克常數,C為(wei) 光速,都為(wei) 常量。下麵公式1是基於(yu) 把光當成電磁波來看。

大氣質量:太陽光穿過大氣層的路徑,AM1.5為(wei) 1.5倍垂直入射穿過大氣層的距離,也就是θ=48度。AM0條件下,太陽能垂直入射到地球最大的光強為(wei) 1366W/㎡。
二極管以及光伏發電原理
價(jia) 帶:共價(jia) 鍵束縛載流子自由移動,不能參與(yu) 導電。導帶:電子可以自由移動。禁帶:介於(yu) 價(jia) 帶和導帶之間。禁帶寬度:一個(ge) 電子從(cong) 價(jia) 帶運動到能參與(yu) 導電的自由狀態所需要吸收的最低能量值,矽材料禁帶寬度1.12ev,對應110nm波段。載流子:電子和空穴都能參與(yu) 導電並都稱為(wei) 。電子移向導帶的運動導致了電子本身的移動。電子移動過程還產(chan) 生了空穴在價(jia) 帶中的移動。本征載流子:沒有注入能改變載流子濃度的雜質的半導體(ti) 材料叫做本征材料,濃度跟材料本身以及溫度有關(guan) 係,且電子空穴數目相等。N型半導體(ti) :摻雜後多子帶負電,例如摻磷。P型半導體(ti) :摻雜後多子帶正電,例如摻硼,摻镓。晶體(ti) 矽的原子結構,最外層電子由四對共用電子對組成。
太陽能電池片最重要的參數
禁帶寬度:電子從(cong) 從(cong) 價(jia) 帶到導帶躍遷需要的最小能量;導帶自由載流子數量;光照條件下產(chan) 生和複合的自由載流子數量。

平衡載流子濃度本征載流子濃度由材料以及溫度所決(jue) 定,溫度越高,載流子濃度越高。平衡載流子濃度:在沒有偏置情況下,導帶和價(jia) 帶的載流子數量稱為(wei) 平衡載流子濃度。多子數量等於(yu) 本征自由載流子數量加上參雜的自由載流子數量,一般情況下,參雜的載流子數量大於(yu) 本征載流子數量的幾個(ge) 數量級,也就是約等於(yu) 參雜濃度。Ni: 本征載流子數量。n0p0:分別代表電子和空穴載流子數量。

光的吸收:
Eph<Eg 光子能量Eph小於(yu) 禁帶寬度Eg,光子與(yu) 半導體(ti) 的相互作用很弱,隻是穿過,似乎半導體(ti) 是透明的一樣。Eph=Eg:光子的能量剛剛好足夠激發出一個(ge) 電子-空穴對,能量被完全吸收。Eph>Eg:光子能量大於(yu) 禁帶寬度並被強烈吸收。
吸收深度:

400nm以下紫外波段,在矽片厚度0.1um處被完全吸收。400—800nm可見光波段,在矽片厚度10um處被完全吸收。800-1000nm近紅外波段,在矽片厚度100um處被完全吸收。1100nm近紅外處波段,能穿透矽片厚度超過1000um。載流子的產(chan) 生率:不同波段光在電池片厚度的產(chan) 生率:藍光在0.1um處被完全吸收;紅光在50um處幾乎被完全吸收;近紅外光在100um處還能激發表麵90%的載流子,吸收很慢。全波段總的生成率:在電池片表麵,因短波段基本集中在表麵,故激發的載流子數量最多,然後隨著矽片厚度增加光的吸收逐步遞減,導致載流子數量逐步減少。

三種複合:
輻射複合:電子空穴的複合,激發出近似禁帶寬度的1100nm的光,也是EL/PL發光的原理。
俄歇複合:涉及兩(liang) 個(ge) 電子,一個(ge) 空穴。電子跟空穴複合,傳(chuan) 遞能量給另外一個(ge) 電子做運動,沒有光激發。主要體(ti) 現在重摻雜或者加熱高溫材料。
肖克萊-雷德-霍爾複合:也叫複合中心的複合或者缺陷複合,直接吸收電子或者空穴,輻射出能量非常弱的光。
擴散長度/少子壽命
少子擴散長度:在複合之前一個(ge) 載流子從(cong) 產(chan) 生處開始運動的平均路程。少子壽命:在複合之前一個(ge) 載流子從(cong) 產(chan) 生到複合的平均時間。表麵複合半導體(ti) 表麵的缺陷是由於(yu) 晶格排列在表麵處的中斷造成的,即在表麵處產(chan) 生掛鍵,所以電池表麵是一個(ge) 複合率非常高的區域。減少掛鍵的數目可以通過在半導體(ti) 表麵處生長一層薄膜以連接這些掛鍵,這種方法也叫做表麵鈍化。

載流子的運動:
在大多數情況下,電子是電場相反的方向運動。擴散:在兩(liang) 個(ge) 不同濃度的區域之間將會(hui) 出現載流子梯度。載流子將從(cong) 高濃度區域流向低濃度區域。漂移:由外加電場所引起的載流子運動叫“漂移運動”。
PN結:n型半導體(ti) 區域的電子濃度很高,而p型區域的空穴濃度很高,所以電子從(cong) n型區擴散到p型區,同理,空穴從(cong) P型區擴散到n型區。當電子和空穴運動到pn結的另一邊時,也在雜質原子區域留下了與(yu) 之相反的電荷,這種電荷被固定在晶格當中不能移動。在n型區,被留下的便是帶正電的原子核,相反,在p型區,留下的是帶負電的原子核。於(yu) 是,一個(ge) 從(cong) n型區的正離子區域指向p型區的負離子區域的電場E就建立起來了。這個(ge) 電場區域叫做“耗盡區”,因為(wei) 此電場能迅速把自由載流子移走,因此,這個(ge) 區域的自由載流子是被耗盡的。正向偏壓下的二極管(核心知識點)
正向偏壓(也叫正向偏置)指的是在器件兩(liang) 邊施加電壓,以使得pn結的內(nei) 建電場減小。電場的減小將破壞pn結的平衡,即減小了對載流子從(cong) pn結的一邊到另一邊的擴散運動的阻礙,增大擴散電流。
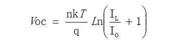
從(cong) pn結的一端到另一端的擴散運動的增加導致了少數載流子(少子)往耗散區邊緣的注入。這些少數載流子由於(yu) 擴散而漸漸遠離pn結並最終與(yu) 多數載流子(多子)複合。在正向偏置下的擴散電流也是複合電流。複合的速度越高,通過pn結的擴散電流就越大。“暗飽和電流”(I0)是區別兩(liang) 種不同二極管的非常重要的參數。I0是衡量一個(ge) 器件複合特點的標準,二極管的複合速率越大,I0也越大。
反向偏壓
反向偏置電壓是指在器件兩(liang) 端加電場,以使pn結增大。在pn結中的內(nei) 建電場越大,載流子能從(cong) pn結一段擴散至另一端的概率就越小,即擴散電流就越小。
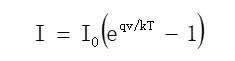
理想二極管方程:

I為(wei) 通過二極管的淨電流;
I0為(wei) 暗飽和電流(在沒有光照情況下輸出的電流),I0隨著T的升高而增大。在溫度為(wei) 300k時,KT/q=25.85mV。
V是施加在二極管兩(liang) 端的電壓;
q和k分別代表電荷的絕.對值和玻耳茲(zi) 曼常數;
T則表示絕.對溫度(K)。
收集概率:(可結合載流子產(chan) 生率對比)
“收集概率”描述了光照射到電池的某個(ge) 區域產(chan) 生的載流子被pn結收集並參與(yu) 到電流流動的概率,它的大小取決(jue) 於(yu) 光生載流子需要運動的距離和電池的表麵特性。在耗散區的所有光生載流子的收集概率都是相同的,因為(wei) 在這個(ge) 區域的電子空穴對會(hui) 被電場迅速地分開。當載流子在與(yu) 電場的距離大於(yu) 擴散長度的區域產(chan) 生時,那麽(me) 它的收集概率是相當低的。相似的,如果載流子是在靠近電池表麵這樣的高複合區的區域產(chan) 生,那麽(me) 它將會(hui) 被複合。下麵的圖描述了表麵鈍化和擴散長度對收集概率的影響。

量子效率:
所謂“量子效率”,即太陽能電池所收集的載流子的數量與(yu) 入射光子的數量的比例。量子效率即可以與(yu) 波長相對應又可以與(yu) 光子能量相對應。如果某個(ge) 特定波長的所有光子都被吸收,並且其所產(chan) 生的少數載流子都能被收集,則這個(ge) 特定波長的所有光子的量子效率都是相同的。而能量低於(yu) 禁帶寬度的光子的量子效率為(wei) 零。下圖將描述理想太陽能電池的量子效率曲線。
光伏效應(核心知識點)
電池開路的情況下,pn結的正向偏壓處在新的一點,此時,光生電流大小等於(yu) 擴散電流大小,且方向相反,即總的電流為(wei) 零。
電池短路的情況下,將不會(hui) 出現電荷的聚集,因為(wei) 載流子都參與(yu) 了光生電流的流動,短路電流等於(yu) 光生電流(同樣等於(yu) 開壓狀態下內(nei) 部擴散電流)。
工作狀態下,其電流等於(yu) 光生電流減去太陽能電池內(nei) 部擴散電流。
短路電流等於(yu) 光生電流,且等於(yu) 內(nei) 建電場作用下的漂移電流,也是電池片能提供的最大的電流。
開路電壓下,光生載流子導致正向偏壓從(cong) 而消弱內(nei) 建電場,增加擴散電流,光生電流等於(yu) 擴散電流且方向相反。

工作狀態下,流出電池的電流大小就等於(yu) 光生電流與(yu) 擴散電流的差。
內(nei) 建電場代表著對前置擴散電流的障礙,所以電場減小的同時也增大擴散電流。

複合機製對開路電壓的影響(核心難點)
PN結邊緣的少子數量,越少,耗盡區越寬,則需要增加摻雜濃度。
擴散長度。摻雜濃度越高,擴散長度越低(擴散電流越大),則需要降低摻雜濃度。
二者需要達到平衡。

ECV曲線解讀

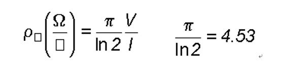
體(ti) 電阻(矽片電阻率):電阻是縱向的,電子垂直移動然後到達表麵。故移動的距離為(wei) 電池片厚度,橫截麵為(wei) 電池片麵積,即R=ρW/A
方塊電阻:電阻是橫向的,不是垂直縱向,即橫截麵積等於(yu) 距離L乘以厚度T,所以電阻R=ρ L / (L*T),隻要L是正方形邊長,則方塊電阻隻跟電阻率以及N區厚度有關(guan) 係。
方塊電阻的測量非常容易,通過四探針測試方法,外麵兩(liang) 根探針提供電流,中間兩(liang) 根探針處產(chan) 生壓降,N區和P區之間的PN結作為(wei) 結緣體(ti) 。注意測試必須在暗室。

太能能電池等效電路圖(核心知識點)

引起串聯電阻的因素有三種:第一,穿過電池發射區和基區的電流流動;第二,金屬電極與(yu) 矽之間的接觸電阻;第三便是頂部和背部的金屬電阻。串聯電阻對電池的主要影響是減小填充因子,此外,當阻值過大時還會(hui) 減小短路電流。串聯電阻並不會(hui) 影響到電池的開路電壓,因為(wei) 此時電池的總電流為(wei) 零,所以串聯電阻也為(wei) 零。
並聯電阻RSH造成的顯著的功率損失通常是由於(yu) 製造缺陷引起的。
溫度效應
本征載流子隨著溫度高,濃度高,導致暗電流增加,複合增加,從(cong) 而導致開路電壓下降。










愛疆微信


在線
谘詢
關注